
7. sınıf rasyonel sayılarda çarpma konusu nedir? Rasyonel sayılarda çarpma nasıl yapılır, nelere dikkat edilir?
Rasyonel Sayılarda Çarpma Nedir?
Rasyonel sayılar; payı ve paydası tam sayı olan, paydası 0 olmayan sayılardır.
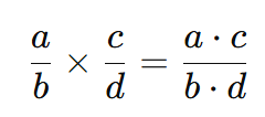
7. sınıfta rasyonel sayılarda çarpma işlemi, payların kendi arasında, paydaların kendi arasında çarpılması mantığına dayanır.
Genel kural:
Bu konu, hem matematiksel düşünme becerisini geliştirir hem de denklem çözme gibi ileri kazanımların temelini oluşturur.
Rasyonel Sayılarda Çarpma Kuralları
Rasyonel sayılarda çarpma işlemi yapılırken şu adımlar takip edilir:
1. Paylar kendi arasında çarpılır
2. Paydalar kendi arasında çarpılır
3. Gerekirse sadeleştirme yapılır
4. İşaret kurallarına dikkat edilir
Konu ile ilgili testi PDF olarak aşağıdaki linkten indirebilirsiniz.





